If f(x) = 3x 4, find f(5) and f(x 1) f(5) = 3(5) 4 = 19 f(x 1) = 3(x 1) 4 = 3x 7 Domain and Range The domain of a function is the set of values which you are allowed to put into the function (so all of the values that x can take) The range of the Therefore, the range of f(x) is the union of the range of the two pieces, namely y > 1 (When x = 15, y = 1, so y = 1 is clearly in the range of f(x)) I ended up making a table of values in a spreadsheet to determine the range It seems that the fact that the function is fractional with an absolute value is throwing us offFind the Domain and Range f(x)=5^x The domain of the expression is all real numbers except where the expression is undefined In this case, there
Domain And Range F X Root 5 6x X2 Maths Relations And Functions Meritnation Com
F(x)=x+3/5x-5 domain and range
F(x)=x+3/5x-5 domain and range-Given f (x) = 2 − ∣ x − 5 ∣ Domain of f (x) is defined for all real values of x Since, ∣ x − 5 ∣ ≥ 0 − ∣ x − 5 ∣ ≤ 0 2 − ∣ x − 5 ∣ ≤ 2 f (x) ≤ 2 Hence, range of f (x) is (− ∞, 2Given f (x) = 2 − ∣ x − 5 ∣ Domain of f (x) is defined for all real values of x Since, ∣ x − 5 ∣ ≥ 0 − ∣ x − 5 ∣ ≤ 0 2 − ∣ x − 5 ∣ ≤ 2 f (x) ≤ 2 Hence, range of f (x) is (− ∞, 2



Functions Domain Range Exclusions Edexcel Igcse Maths Revision Notes
Suppose that f has domain 4,8 and range 2,6 Find the domain and range of \\begin{array}{ll}{\\text { (a) } y=f(x)3} & {\\text { (b) } y=f(x3)} \\\\ {\\text//googl/JQ8NysDomain and Range of f(x,y) = arccos(x y) Multivariable CalculusClick here 👆 to get an answer to your question ️ What are the domain and range of f(x)=(1/5)x?
All these are real values Here value of domain (x) can be any real number Hence, Domain = R (All real numbers) We note that that Range f(x) is 0 or negative numbers, Hence, Range = (−∞, 0 Ex 23, 2 Find the domain and range of the following real function (ii) f(x) = √((9 −x^2)) It is given that the function is a real functionRange (0,0) O domain (3,0);Rozolynnt rozolynnt Mathematics Middle School What are the domain and range of f(x)=(1/5)x?
The equation is y = f (x ) = 2x 5 Make the table of values to find ordered pairs that satisfy the equation Choose values for x and find the corresponding values for y Draw a coordinate plane Plot the coordinate points Then sketch the graph, connecting the points with a Correct answers 2 question What are the domain and range of the function f(x) = 3x 5?Therefore, the range of the function is also not restricted The set of real numbers is the range of this function The graph below represents the values of domain and range of the function f (x) = 3x 5 Since for no value of x, the function f(x) is not defined, hence the domain and range of f is R This graph shows that the domain and range



Http Www Wylieisd Net Cms Lib09 Tx Centricity Domain 2396 Test 7 review answer key Pdf



Q Tbn And9gcrbtq2n2wyqxjku7shcld Gzp Crxxctbrkotgywsn Sp4ftbet Usqp Cau
Precalculus questions and answers Determine the domain of each of the following functions (a) f (x)= X2 x5 Determine the range of this function by taking the inverse of it and then taking the domain of the inverse which is going to be the range of the f (x) Question Determine the domain of each of the following functionsI'll be breaking down this question in three parts, 1 When x is positive 2 When x is negative 3 When x is zero In the first case, if x is positive, And since the modulus of a positive number is the number itself, our function becomes, f(x) = x/Click here👆to get an answer to your question ️ Find the domain and range of f(x) = √(x 5)



What Are The Domain And Range Of The Function F X 3 X 5 Solved



Solved Activity 1 1 Answer The Guide Questions To Complete The Table Of Domain And Range Of The Following Exponential Functions A F X 5 Is F Course Hero
Find the domain and range of the function `f(x)=(1)/sqrt(x5)`F (x) = x−5 For f (x) to be defined, the term under the Squareroot should be greater than or equal to zero x−5 ≥0 x ≥ 5 So, the domain is 5,∞) Find domain and range of x 29x3 FxX2 9 x3 Share with your friends What Is The Domain And Range Of F X 9 X Quora Using Doodles In Math Class Teaching Algebra School Algebra 9th Grade Math Find The Domain And Range Of The Function F X 1 Sqrt X 5 Youtube Quadratic Transformations Practice Quadratics Solving Quadratics Math Lesson Plans



Find The Domain And The Range Of The Real Function F X X 3 X 5 Youtube



Domain And Range Of Quadratic Functions Video Khan Academy
12 Find the domain and range of the function (Enter your answers using interval notation) f(x) = 4x 2 5 Domain Range 13 Find the domain and range of the function Find the Domain and Range fx1x5 Set the denominator in equal to to find where the expression is undefined The absolute value expression has a V shape Sqrt x 2 5 x sqrt 94 32 The range is the set of all valid values X x2 Now the range is the set of y values Therefore the domain is all real numbers As for the range we Find the Domain and Range fx5 The domain of the expression is all real numbers except where the expression is undefined Thus domain1 See answer rozolynnt is waiting for your help Add your answer and earn points



What Is The Range Of F X 2x 5 With Domain 1 2 3 4 O A 3 1 1 3 O B 7 9 11 Brainly Com



How To Find A Domain And Range On A Graph Arxiusarquitectura
Find the Domain and Range f (x)=5/x f (x) = 5 x f ( x) = 5 x Set the denominator in 5 x 5 x equal to 0 0 to find where the expression is undefined x = 0 x = 0 The domain is all values of x x that make the expression defined Interval Notation You have the following function given in the problem above f(x)= (1/5)^x As you can see, it is a exponential function By definition, the domain of the exponential functions is all the real numbers anf their range is all real numbers greater that zeroAnswer to Find the maximal domain and range of the function f, given by f(x) = \sqrt{5 4x x^2}, and sketch its graph By signing up, you'll get



How To Find Domain Of Function F X X 3x 5 X 5x 4 The Math Guru



If The Function F X Has A Domain Of 2 X 8 And A Range Of 4 Y 6 And The Function G X Is Defined By The Formula G X 5f 2x Then What Are
Answer and Explanation 1 Given f(x) = 1 x f ( x) = 1 x Domain Since the function is a fraction, the value of the variable are all real numbers except 0 0 since it will result to an undefinedPlease Subscribe here, thank you!!!Domain and Range of Exponential and Logarithmic Functions Recall that the domain of a function is the set of input or x values for which the function is defined, while the range is the set of all the output or y values that the function takes A simple exponential function like f(x) = 2x has as its domain the whole real line



What Is The Domain And Range Of F X 15 X 5 Quora



Determine The Domain And Range Of The Function F X Chegg Com
Given that f(x) = 1/√(x 5) Here, it is clear that (x) is real when x – 5 > 0 ⇒ x > 5 Hence, the domain = (5, ∞) Now to find the range put For x ∈ (5, ∞), y ∈ R Hence, the range of f Given f (x) = 1/√x−5 To find the domain and range of function Explanation So, the domain of a function consists of all the first elements of all the ordered pairs, ie, x, so we have to find the values of x to get the required domain Given, f (x) = 1/√x−5 Now for real value of x5≠0 and x5>0 ⇒ x≠5 and x>5 Hence the domain of f = (5, ∞) Therefore, when x = 5, f(x) is undefined f(5) = (5 7)/(5 5) = color(green)(12/0) Since the domain is based on the allowed values of x, the domain is color(blue)((oo,5) uu (5,oo)) Based on the domain, we would find the range by solving for x in terms of f(x), which we will write as y = f(x) y = (x 7)/(x 5) y(x5) = x 7 xy 5y = x 7 x xy = 5y 7 x(1 y) = 5y 7 x = (5y 7)/(1 y) color(green)(x



16 Exponential Functions Q A Function When The



Use The Graph Of The Function To Find The Domain And Chegg Com
If you mean that mathf(x)=23(4^{5x}6)/math, then it is equivalent to mathf(x)=3*4^{5x}16/math The domain is math(\inf, \inf)/math, and the range isAlgebra Find the Domain and Range f (x)=1/ (x5) f (x) = 1 x − 5 f ( x) = 1 x 5 Set the denominator in 1 x−5 1 x 5 equal to 0 0 to find where the expression is undefined x−5 = 0 x 5 = 0 Add 5 5 to both sides of the equation x = 5 x = 5 The domain is all values of x x that make the expression definedThe domain of a function, D D, is most commonly defined as the set of values for which a function is defined For example, a function f (x) f ( x) that is defined for real values x x in R R has domain R R, and is sometimes said to be "a function over the reals" The set of values to which D D is sent by the function is



Tutorial Function Domain And Range Pdf Variable Mathematics Domain Of A Function



How To Find The Range Of A Function F X
For $$f(x)$$ to be defined, the term under the Squareroot should be greater than or equal to zeroWhat is domain and range? Hence the domain of f is R And the range of a function consists of all the second elements of all the ordered pairs, ie, f(x), so we have to find the values of f(x) to get the required range Now we know x5≥0 orx5≤0 Adding 2 we get 2x5≤2 ⇒ f(x)≤2 Hence the range of f = (∞, 2 Hence the correct answer is option (B)



Section 1 5 Combinations Of Functions Ppt Download



Find The Domain Of A Function Defined By An Equation College Algebra
The function f(x)= `lx 5l` f(x) is the absolute value of (x 5) The domain of the function is the set of real numbers as x 5 can take any real value and so can xFigure 3 Domain and range of a function and its inverse When a function has no inverse function, it is possible to create a new function where that new function on a limited domain does have an inverse function For example, the inverse of f ( x) = x \displaystyle f\left (x\right)=\sqrt {x} f (xDomain and range The domain and range of a function is all the possible values of the independent variable, x, for which y is defined The range of a function is all the possible values of the dependent variable y The example below shows two different ways that a function can be represented as a function table, and as a set of coordinates



What Is The Domain And Range Of F X Abs X 3 5 2 Socratic



10 Find The Domain And Range A F X V X 2 5 X
How to Find the Domain and Range of f(x, y) = ln(xy 2)If you enjoyed this video please consider liking, sharing, and subscribingYou can also help supportRange The out comes or values that we get for y is known as range Domain for given function f (x) = x 3 For any real values of x, f (x) will give defined values Hence the domain is R Since we have absolute sign, we must get only positive values by applying any positive and negative values for x in the given functionRange (5,0) O domain (0co



Find Domain And Range Of Real Functions 1 F X X 2 3 X 2 F X 1 Sqrt X 5 3 F X X 1 X 2



Find The Domain And The Range Of The Function F X X 2 25 X 5
f(x)= x^2 5 The domain are all x values that has images As you see, we do not have any restrictions on the values of x ==> Therefore, the domain is all real numbersFind the Domain and Range f(x) = log of x5 Set the argument in greater than to find where the expression is defined Add to both sides of the inequality The domain is all values of that make the expression defined Interval Notation SetBuilder Notation The range is the set of all valid valuesFind the Domain and Range f (x)=5 f (x) = −5 f ( x) = 5 The domain of the expression is all real numbers except where the expression is undefined In this case, there is no real number that makes the expression undefined Interval Notation (−∞,∞) ( ∞, ∞) Set Builder Notation {xx ∈ R} { x x



3 3 Domain And Range Mathematics Libretexts



Solved 77 78 Domain And Range Find The Domain And
Arithmetic Mean Geometric Mean Quadratic Mean Median Mode Order Minimum Maximum Probability MidRange Range Standard Deviation Variance Lower Quartile Upper Quartile Interquartile Range Midhinge Standard Normal Distribution Physics Mechanics domain\f(x)=\cos(2x5) domain\f(x)=\sin(3x) precalculusfunctiondomaincalculator en Domain (∞,∞) Range (5,∞) Stepbystep explanation The domain of the function is the possible set of values at which the function is defined and the range of the function is the corresponding function values at the points of the domain e are given a function f(x) as Clearly the function is defined for all the real values Hence, the



Answered The Function F Has A Domain Of 0 5 Bartleby



Find The Inverse Function Of F State The Domain And Chegg Com



Find The Domain Of The Function F X X 2 3x 5 X 2 5x 4



How To Find The Domain And Range Of A Function 14 Steps



L1 Functions Domain Amp Range



Day 4 Function Notation Domain X Range Y There Is Probably A Solution To Every Problem



Calculate G X Where G F 1 State The Domain And Chegg Com



Algebra 1 Warm Up State The Domain Range



4 Ways To Find The Range Of A Function Wikihow



What Is The Domain Of F



Inverse Of A Function In Math Tutorial Explaining Inverses Step By Step Several Practice Problems Plus A Free Worksheet With Answer Key



Q Tbn And9gcqj529kunx E23asbmwgf8sdjnucswezuevva8edino5czgfbjv Usqp Cau



6 Ways To Find The Domain Of A Function Wikihow



Introduction To Function Domain And Range Mohd Noor



3



How Do You Find The Domain And Range Of Y Sqrt 3x 5 Socratic



Functions Domain Range Exclusions Edexcel Igcse Maths Revision Notes



Domain And Range



Domain And Range Free Math Help



Logarithmic Functions And Their Graphs



Answered 6 The Function F X Is One To One Bartleby



Find The Domain And The Range Of The Function F X X 2 25 X 5 Youtube



Ncert Exemplar Class 11 Maths Chapter 2 Relations And Functions Learn Cbse



Www Olma Org Ourpages Auto 18 9 17 1 7 answers Pdf



Domain And Range Shortcut Rules The Qubits Blog



Madasmaths Com Archive Maths Booklets Standard Topics Various Function Exam Questions Pdf



What Is Domain And Range In A Function Video Lesson Transcript Study Com



Find Domain Of X 2 5x 6 Mathematics Topperlearning Com Hv2l3nff



Inverse Of Square Root Function Chilimath



Example 15 F X 1 X What Is The Domain And Range Examples



Misc 5 Find Domain And Range Of F X X 1 Class 11



Domain And Range F X Root 5 6x X2 Maths Relations And Functions Meritnation Com



Find The Range Of The Function F X Tan 1 Log5 4 5x 2 8x 4 Sarthaks Econnect Largest Online Education Community



Solve Domain And Range Of A Function With Wolfram Alpha Wolfram Alpha Blog



What Are The Domain And Range Of The Function F X 3 X 5 Brainly Com



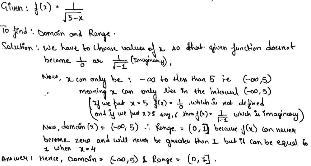
Find The Domain And The Range Of The Function Fleft Xright Frac 1 Sqrt 5 X Snapsolve



Section 1 1 Relations And Functions Relation Domain Range Function Example 1 State The Domain And Range Of Each Relation Then State Whether Ppt Download



Solved 51 54 Domain And Range Find The Domain And



Find The Domain Of The Range Of Each Of The Following Real Functions F X Sqrt 3x 5 Youtube



Find The Domain Of A Function Defined By An Equation College Algebra



Domain And Range Of F X Geogebra



Question Video Finding The Domain And Range Of A Radical Function Nagwa



1 Given That F X X 2 5x 6 X 2 A Find The Domain Chegg Com



Domain And Range F X Root 5 6x X2 Maths Relations And Functions Meritnation Com



Ex 2 2 6 Determine Domain And Range Of R X X 5



3



Rd Sharma Solutions For Class 11 Maths Updated For 21 22 Chapter 3 Functions



Find The Domain And Range Of The Function F X 1 Sqrt X 5 Youtube



Find The Domain And Range Of The Function Y F X In The Graph Brainly Com



What Is The Domain And Range Of The Function F X 5 X Socratic



Find The Domain And Range Of The Function F X 1 X 5 Donimain



Http Web Fscj Edu Lyn Noble Mac1105 Wrksht Domainrange Pdf



What Is The Range Of The Function F X X 1 Quora



Find The Domain Of F X Log10 1 Log 10 X 2 5x 16



2 4 Linear Functions The Graph Of A Linear Function Is A Line To



Answered Domain And Range Find The Domain And Bartleby



X Direction Graph The Fo Descubre Como Resolverlo En Qanda



Domain And Range Of Exponential And Logarithmic Functions



Solved Find The Domain And Range For The Function F X 2x 2 5 Course Hero



2



Review For Test 3



Example 21 Find Domain Of F X X2 3x 5 X2 5x 4



Find Domain And Range Of The Functions F X Sin 1 5x F X 1 X 2 X 3 1 X 2 F X Sinx X 2 5x 6 F X Log



Interpretation Of Domain And Range Of A Function F Ppt Download



Determine The Domain And Range Of The Relation R Defined By R X X 5 X 0 1 2 3 4 5



Domain And Range Of Quadratic Functions Video Khan Academy



Find The Domain And The Range Of The Function 4 F X 1 7x 5 For X 7 Homeworklib



What Are The Domain And Range Of F X 1 5 X Brainly Com



A Fleft Xright 5x Is Fle Descubre Como Resolverlo En Qanda



Domain And Range Of Rational Functions



Solution Whats The Domain And Range Of The Function F X 3 5x 2



1 Identify Relations Domains And Ranges 2 Identify Functions



Domain Range Power



Domain And Range Examples Domain And Range Of Functions



Http Www Eastauroraschools Org Cms Lib Ny Centricity Domain 323 Midterm 2 answers Pdf



For The Function F X X 2 5 Find The Domain And Range Enotes Com



Find The Domain And Range Of F X 2x 5 Mathskey Com



The Domain And Range Of The Function F Given By F X 2 X 5 Is Youtube



Determine Domain And Range From A Graph College Algebra



Fsw01 c Cuny Edu Nikolaos Apostolakis Teaching Sp08 Math30 30sp08exam1 Ans Pdf


0 件のコメント:
コメントを投稿